bikometr

Wszystko co zwiazane z rowerowaniem i podrozowaniem. Trasy, nietypowe pomysly, porady praktyczne.

Moderators: Creeping Death, Edi, chmiel

Post Reply
User avatar
behem0th
Ojciec Dyktator
Posts: 5310
Joined: 21 Feb 2004 13:50
Location: Ze wsi
Contact:

bikometr

Post by behem0th »

no chlopaki, ruszyl bikometr, mozna sie scigac wirtualnie. na razie jeszcze jest niedopracowany, ale dziala. prace zaczal yorek ale nie podolal, wiec chmiel zaatakowal i oto jest. ;)

blekytny pasek, to kilometry zaplanowane na dany rok;
czerwony pasek, to kilosy ktore powinny byc przejechane do dzis, zeby wyrobic plan;
zielony pasek, to przejechane kilosy;

edit [chmiel] : skala bajkometru jest do 10000 km

jak ktos widzi inne zapotrzebowanie czy ma pomysl to slucham.

podsumowujac: kto chce wskaznik, musi sie do mnie odezwac na priva po instrukcje obslugi. na poczatek trzeb podeslac deklarowana ilosc km, oraz
stan licznika kilometrow z poczatku roku.
wynik skrypta jest w postaci grafiki do wstawienia gdziekolwiek. jako dane sa wskazania licznika kilometrow ogolnych, wiec nie trza caly czas dopisywac, ino raz jak sie zachce.

Dzisiejsza statystyka:

mlody:
Image

mike:
Image

hak:
Image

leoheart:
Image

edi:
Image

dzidek:
Image

jasiek:
Image

spider:
Image

domar:
Image

popey:
Image

czarek:
Image

patiomkin:
Image

yorek:
Image

Arkadj:
Image

chmiel:
Image

bartek:
Image

dar3k:
Image

jacq:
Image

beheexperimental:
Image
Last edited by behem0th on 02 Jan 2011 16:58, edited 19 times in total.
User avatar
behem0th
Ojciec Dyktator
Posts: 5310
Joined: 21 Feb 2004 13:50
Location: Ze wsi
Contact:

Post by behem0th »

okej. zalozeniem jest tworzenie wykresu raz na jakis czas. do chwili gdy skrypt nie bedzie gotowy, tym czasem jest jeden miesiac (chyba ze ktos chce sie zajac klepaniem danych do excela, mi sie nie chce).
zatem postanowilem ze wykres bedzie generowany o godzinie 24 pierwszego kazdego miesiaca, prosze o pamietanie o zaktualizowaniu dystansu przed tym terminem. ;)

byc moze pojawia sie i inne parametry. na razie bedzie wygladac to tak:

Image
User avatar
leoheart
Miły Gość
Posts: 3027
Joined: 09 Jan 2005 07:53
Location: Otwock
Contact:

Post by leoheart »

dzisiejsza poranna 50-tka po szosie pozwoliła mi zrealizowac PLAN! :)
skromny wobec planów naszych cyborgów i nader mizerny wobec osiagnięcia Behema który w troche ponad miesiąc wykonał moja roczna norme ale...mój własny :)
na dowód zmieszczam zdjęcia i wszystkim życze realizacji ich własnych planów
ps.ciekawe jaki kolor przybierze bikometr :D
Attachments
wow
wow
bez tytułu1.jpg (104.14 KiB) Viewed 34737 times
YES!YES!YES!
YES!YES!YES!
bez tytułu2.jpg (125.01 KiB) Viewed 34737 times
soldier of love
www.republika.pl/leoheart

Image
User avatar
spider
Szaleniec z aparatem
Posts: 2518
Joined: 02 May 2005 06:49
Location: Otwock
Contact:

Post by spider »

Leo

Gratulacje :brawo: :brawo: :brawo: :brawo: :brawo: :jupi: :jupi: :jupi: :jupi: :jupi: :peace: :tancze: :zdrowie: :jupi: :brawo: :brawo: :brawo: :brawo: :brawo:
Personal best 200km
User avatar
Creeping Death
NApierdalator
NApierdalator
Posts: 1286
Joined: 04 Jul 2005 20:14
Location: ja to znam?!

Post by Creeping Death »

NO fajnie fajnie... Mi mojego zaożenia raczej nie uda się zrealizować.
Także tym większe gratulacje
POWERADE- Jebne czy wstane??

Honda Shadow VT500C - moja śliczna!
hak
Sport Dajrektor
Posts: 847
Joined: 21 Feb 2006 19:11
Location: Otwock-Świder

Post by hak »

LEO JESTEŚ WIELKI :spoko: :zdrowie:

A teraz kończ to świętowanie i dawaj na maroton do Józefowa :wink:
User avatar
behem0th
Ojciec Dyktator
Posts: 5310
Joined: 21 Feb 2004 13:50
Location: Ze wsi
Contact:

Post by behem0th »

nowe notowania. gratuluje wynikow, i...
jezeli ktos zna sie na sqlu, php i chce sie wykazac troche to zapraszam na prv, jest pare pomyslow do zrealizowania na 2007. recznie kolejnego roku klepac nie bede. ;)
User avatar
chmiel
Moherator
Posts: 1289
Joined: 15 Mar 2004 15:28

Post by chmiel »

Tadaaa !
Od dziś jestem stachanowcem wyrabiajacym ponad 100% normy !
Mógłbym dziś już schować rower do piwnicy i w końcu odpocząć od tego pedalenia ;) no ale się przemoge i dokręce jeszcze troche w imię pięciu dętek olimpijskich ;)
...bo gdzie się ten kosmos kończy ?! Bo stół się, kurna, kończy tu !
User avatar
behem0th
Ojciec Dyktator
Posts: 5310
Joined: 21 Feb 2004 13:50
Location: Ze wsi
Contact:

Post by behem0th »

sory za opoznienie ;)
User avatar
Giant Mike
Mam zdecydowanie za duzo czasu...
Mam zdecydowanie za duzo czasu...
Posts: 898
Joined: 20 Apr 2005 19:41
Location: Warszał
Contact:

Post by Giant Mike »

behem0th wrote:sory za opoznienie ;)
a komentarz Ojca Redaktora ? :)

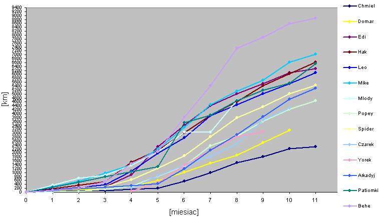
Zdecydowanie widać koniec wakacji dla uczniów jak i sesję dla studentów. Na szczęście pogoda była dla nas łaskawa we wrześniu, ale szybki zmierzch jest już widoczny w wynikach.

Ja po swoich własnych zapiskach widze, że idze lepiej niż w zeszłym roku, choć sumaryczny wynik jest tylko o 500km lepszy (styczen-pazdziernik). Natomiast szczyt kilometrowy jest wyraźnie szerszy - tzn. przez więcej miesięcy urzymywałem się powyżej trendu.
Sądzę, że listopad będzie miesiącem odpoczynku, a od grudnia/stycznia zaczna się ostre jazdy zimowe oraz (nie wliczany tutaj) trenażer. W zapiskach pojawią się też godziny spędzone na innych aktywnościach (basen, siłownia, sauna).

Wnioski na szybko - aby na zawodach wypadać w miarę lub powyżej oczekiwań muszę jeździć ponad 1000 km miesięcznie w tym 400km startowych i unikac gwałtownych zmian - np. 1000km w lipcu i tylko 600 w sierpniu, bo widocznie odbija się to na kondycji i formie.

to na tyle mądrzenia :)

Michał
Plannja Racing Team || GG#: 130876
User avatar
Łojej
Postojebca zawodowy
Postojebca zawodowy
Posts: 230
Joined: 24 Sep 2005 21:52
Location: ensowany...

Post by Łojej »

A mi po wywrotce wypadła bateria z licznika (i zlicznikiem i poroma innymi podzespołami)... Czy ktos wie jak (czy można) ustawic początkowy dystans w licznikach cateye ?
Last edited by Łojej on 14 Nov 2006 19:49, edited 1 time in total.
Kryptorurek robaczny tramplowany poprzecznie...
User avatar
spider
Szaleniec z aparatem
Posts: 2518
Joined: 02 May 2005 06:49
Location: Otwock
Contact:

Post by spider »

Personal best 200km
User avatar
Łojej
Postojebca zawodowy
Postojebca zawodowy
Posts: 230
Joined: 24 Sep 2005 21:52
Location: ensowany...

Post by Łojej »

Dzięki, ale już tam byłem i tej możliwości brak :(
Kryptorurek robaczny tramplowany poprzecznie...
User avatar
Giant Mike
Mam zdecydowanie za duzo czasu...
Mam zdecydowanie za duzo czasu...
Posts: 898
Joined: 20 Apr 2005 19:41
Location: Warszał
Contact:

Post by Giant Mike »

behem0th wrote:cholera, zapomnialem o tym :D
zpodawjacie dane, jutro wygeneruje

tak przy okazji, pisze sie skrypt ktory to wszystko zautomatyzuje i zrobi "online" i w ogole bedzie kol, dojdzie tez pare bajerow. ;)
stad pytanie, jakie statystyki byscie widzieli?
czy w ogole ktos chce sie zalapac na nowa edycje, bo moze nie ma sensu sie meczyc?
Ja z przyjemnością nadal.

Michał
Plannja Racing Team || GG#: 130876
User avatar
behem0th
Ojciec Dyktator
Posts: 5310
Joined: 21 Feb 2004 13:50
Location: Ze wsi
Contact:

Post by behem0th »

cholera, zapomnialem o tym :D
zpodawjacie dane, jutro wygeneruje

tak przy okazji, pisze sie skrypt ktory to wszystko zautomatyzuje i zrobi "online" i w ogole bedzie kol, dojdzie tez pare bajerow. ;)
stad pytanie, jakie statystyki byscie widzieli?
czy w ogole ktos chce sie zalapac na nowa edycje, bo moze nie ma sensu sie meczyc?
hak
Sport Dajrektor
Posts: 847
Joined: 21 Feb 2006 19:11
Location: Otwock-Świder

Post by hak »

Nie ma innej możliwości. Bawimy się dalej ;-)
User avatar
spider
Szaleniec z aparatem
Posts: 2518
Joined: 02 May 2005 06:49
Location: Otwock
Contact:

Post by spider »

Jedziemy dalej :-) ..... przyszly rok 10k
Personal best 200km
User avatar
behem0th
Ojciec Dyktator
Posts: 5310
Joined: 21 Feb 2004 13:50
Location: Ze wsi
Contact:

Post by behem0th »

chyba samochodem :twisted:
Domar
Bardzo zaaawansowany uzytkownik
Posts: 1934
Joined: 13 Nov 2004 20:25
Location: Otwock

Post by Domar »

ja chętnie, ale mniej ambitnie :)
I co tu napisać? Nie wiem :/
User avatar
Łojej
Postojebca zawodowy
Postojebca zawodowy
Posts: 230
Joined: 24 Sep 2005 21:52
Location: ensowany...

Post by Łojej »

Ja niestety za bardzo cwaniakowałem z tymi 10k... Wyszło ledwo 7300 :oops: Może w przyszłym roku...
Kryptorurek robaczny tramplowany poprzecznie...
Post Reply